반응형

LeetCode 문제 해석 및 풀이 방법
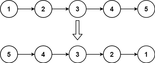
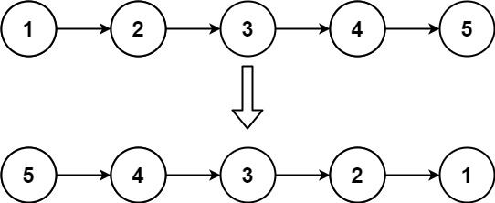
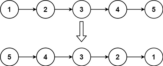
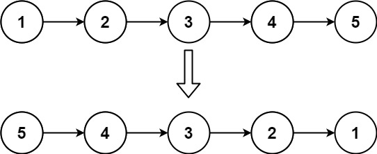
문제 206. Reverse Linked List(연결 리스트 역전)
문제 설명
영문
Given the head of a singly linked list, reverse the list, and return the reversed list.
한글
단일 연결 리스트의 head가 주어지면, 리스트를 역전하고 역전된 리스트를 반환하십시
제한조건
- The number of nodes in the list is the range [0, 5000].
- -5000 <= Node.val <= 5000
입출력 예


| 입력 | 출력 |
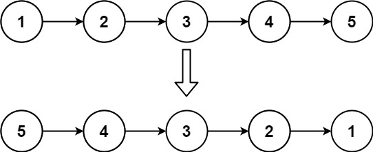
| [1,2,3,4,5] | [5,4,3,2,1] |
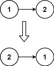
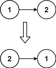
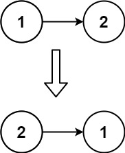
| [1,2] | [2,1] |
| [] | [] |
해답 및 해설
파이썬 (Python)
순회를 이용하는 방법
# Definition for singly-linked list.
# class ListNode:
# def __init__(self, val=0, next=None):
# self.val = val
# self.next = next
class Solution:
def reverseList(self, head: Optional[ListNode]) -> Optional[ListNode]:
now_node = head
prev_node = None
next_node = None
while not now_node is None:
next_node = now_node.next
now_node.next = prev_node
prev_node = now_node
now_node = next_node
return prev_node
리스트를 하나씩 순회하며 방향을 바꾸는 방법
재귀를 이용한 방법
class Solution:
def reverseList(self, head: Optional[ListNode]) -> Optional[ListNode]:
if not head:
return None
else:
new_head = head
if head.next:
new_head = self.reverseList(head.next)
head.next.next = head
head.next = None
return new_head
재귀로 역전된 리스트를 불러와주는 방법
반응형
'🖥️ 문제 풀이 > 리트코드(Leetcode)' 카테고리의 다른 글
| [LeetCode 해석 및 풀이] 143. Reorder List (0) | 2024.04.20 |
|---|---|
| [LeetCode 해석 및 풀이] 21. Merge Two Sorted Lists (0) | 2024.04.19 |
| [LeetCode 해석 및 풀이] 11. Container With Most Water (0) | 2024.04.17 |
| [LeetCode 해석 및 풀이] 853. Car Fleet (0) | 2024.04.17 |
| [LeetCode 해석 및 풀이] 739. Daily Temperatures (0) | 2024.04.17 |
댓글