반응형

LeetCode 문제 해석 및 풀이 방법
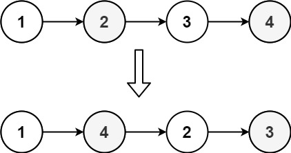
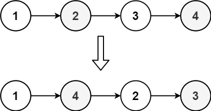
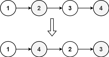
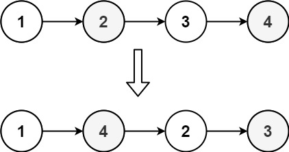
문제 143. Reorder List(재정렬한 리스트)
문제 설명
영문
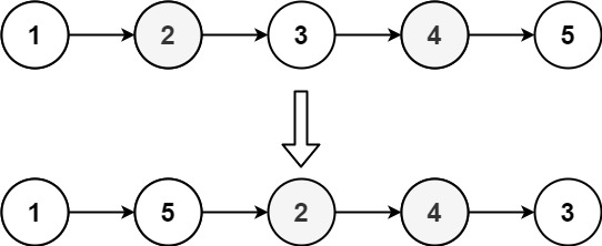
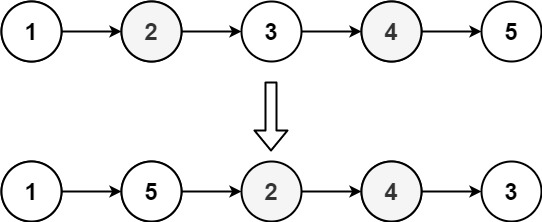
You are given the head of a singly linked-list. The list can be represented as:
L0 → L1 → … → Ln - 1 → Ln
Reorder the list to be on the following form:
L0 → Ln → L1 → Ln - 1 → L2 → Ln - 2 → …
You may not modify the values in the list's nodes. Only nodes themselves may be changed.
한글
단일 연결 리스트의 head가 주어집니다. 리스트는 아래와 같이 나타내집니다
L0 → L1 → … → Ln - 1 → Ln
리스트를 재정렬하여 다음과 같은 형식으로 바꾸세요
L0 → Ln → L1 → Ln - 1 → L2 → Ln - 2 → …
리스트의 값은 바꾸지 마세요. 오직 노드 자체만 변경할 수 있습니다.
제한조건
- The number of nodes in the list is in the range [1, 5 * 104].
- 1 <= Node.val <= 1000
입출력 예


| 입력 | 출력 |
| head = [1,2,3,4] | [1,4,2,3] |
| head = [1,2,3,4,5] | [1,5,2,4,3] |
해답 및 해설
파이썬 (Python)
순회를 이용한 방법
class Solution:
def reorderList(self, head: Optional[ListNode]) -> None:
last_node = mid_node = head
while last_node and last_node.next:
mid_node = mid_node.next
last_node = getattr(last_node.next, 'next', None)
def reverseList(head: Optional[ListNode]) -> Optional[ListNode]:
# 리스트의 순서를 뒤집음
# 206. Reverse Linked List 해법과 같음
dummy_head = now_node = ListNode()
first_list = head
second_list = reverseList(mid_node.next)
mid_node.next = None
while first_list and second_list:
now_node.next = first_list
first_list = first_list.next
now_node.next.next = second_list
second_list = second_list.next
now_node = now_node.next.next
now_node.next = first_list or second_list
206. Reverse Linked List 문제와 21. Merge Two Sorted Lists 문제를 적절하게 응용한 풀이
- 두 칸씩 가는 빠른 포인터와 한 칸씩 가는 느린 포인터를 이용하여 리스트의 중간 지점을 찾는다.
- 리스트를 둘로 쪼개 뒷쪽은 뒤집고, 앞쪽은 그대로 둔다
- 앞쪽 리스트, 뒷쪽 리스트 순서대로 노드를 하나씩 뽑아 계속 연결해준다.
재귀를 이용한 풀이
class Solution:
def reorderList(self, head: Optional[ListNode]) -> None:
if not head.next or not head.next.next: return head
pre_last_node = head
while pre_last_node.next.next != None:
pre_last_node = pre_last_node.next
last_node = pre_last_node.next
pre_last_node.next = None
second_node = head.next
self.reorderList(second_node)
head.next = last_node
last_node.next = second_node
맨 처음과 맨 끝을 때어준 후, 나머지를 정렬하는 방식인데 어어엄청 느렸다.(약 9000ms) 아마 계속해서 리스트의 끝점까지 순회하는 과정이 들어가서 그런게 아닐까 싶다.
반응형
'🖥️ 문제 풀이 > 리트코드(Leetcode)' 카테고리의 다른 글
| [LeetCode 해석 및 풀이] 138. Copy List with Random Pointer (0) | 2024.04.20 |
|---|---|
| [LeetCode 해석 및 풀이] 19. Remove Nth Node From End of List (0) | 2024.04.20 |
| [LeetCode 해석 및 풀이] 21. Merge Two Sorted Lists (0) | 2024.04.19 |
| [LeetCode 해석 및 풀이] 206. Reverse Linked List (0) | 2024.04.19 |
| [LeetCode 해석 및 풀이] 11. Container With Most Water (0) | 2024.04.17 |
댓글