반응형

LeetCode 문제 해석 및 풀이 방법
문제 543. Diameter of Binary Tree (이진트리에서의 지름)
문제 설명
영문
Given the root of a binary tree, return the length of the diameter of the tree.
The diameter of a binary tree is the length of the longest path between any two nodes in a tree. This path may or may not pass through the root.
The length of a path between two nodes is represented by the number of edges between them.
한글
이진트리의 root가 주어지면, 이진트리에서의 지름을 반환하시오.
이진트리의 지름이란 트리에서 두 노드간의 가장 긴 경로의 길이를 뜻합니다. 이 경로는 root를 통과할수도, 안 할수도 있습니다.
두 노드간의 경로의 길이는 두 노드 사이의 간선 수로 나타내니다.
제한조건
- The number of nodes in the tree is in the range [1, 10^4].
- -100 <= Node.val <= 100
입출력 예

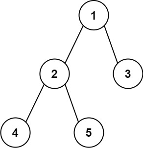
| 입력 | 출력 |
| [1,2,3,4,5] | 3 |
| [1,2] | 1 |
해답 및 해설
파이썬 (Python)
class Solution:
def diameterOfBinaryTree(self, root: Optional[TreeNode]) -> int:
def treeDepthDiameter(head):
if not head:
return (0, 0)
left_depth, left_diameter = treeDepthDiameter(head.left)
right_depth, right_diameter = treeDepthDiameter(head.right)
depth = max(left_depth, right_depth) + 1
diameter = max(left_diameter, right_diameter, left_depth + right_depth)
return (depth, diameter)
_, diameter = treeDepthDiameter(root)
return diameter
이진 트리의 최대 깊이를 구할 때처럼 재귀를 이용하여 하위트리에서 지름, 깊이를 구한다음, 왼쪽, 오른쪽 깊이를 더한 값과 이전 최대 깊이를 비교해 반환하는 방식을 이용하였다.
class Solution:
def diameterOfBinaryTree(self, root: Optional[TreeNode]) -> int:
max_diameter = 0
def treeDepthDiameter(head):
nonlocal max_diameter
if not head:
return 0
left_depth = treeDepthDiameter(head.left)
right_depth = treeDepthDiameter(head.right)
depth = max(left_depth, right_depth) + 1
max_diameter = max(max_diameter, left_depth + right_depth)
return depth
treeDepthDiameter(root)
return max_diameter
다음과 같이 전역변수를 이용하는 방법도 있다. 어차피 지름은 최대값만 필요하기 때문이다.
반응형
'🖥️ 문제 풀이 > 리트코드(Leetcode)' 카테고리의 다른 글
| [LeetCode 해석 및 풀이] 100. Same Tree (같은 트리) (0) | 2024.07.19 |
|---|---|
| [LeetCode 해석 및 풀이] 110. Balanced Binary Tree (균형 잡힌 이진트리) (0) | 2024.07.18 |
| [LeetCode 해석 및 풀이] 104. Maximum Depth of Binary Tree(이진 트리의 최대 깊이) (0) | 2024.07.04 |
| [LeetCode 해석 및 풀이] 226. Invert Binary Tree (이진 트리 뒤집기) (0) | 2024.07.04 |
| [LeetCode 해석 및 풀이] 146. LRU Cache (0) | 2024.06.07 |
댓글