반응형

LeetCode 문제 해석 및 풀이 방법
문제 110. Balanced Binary Tree (균형 잡힌 이진트리)
문제 설명
영문
Given a binary tree, determine if it is height-balanced
A height-balanced binary tree is a binary tree in which the depth of the two subtrees of every node never differs by more than one.
한글
이진 트리가 주어지면, 높이-균형이 잡혀있는지 결정하십시오
높이-균형 이진트리는 모든 노드의 자식 트리의 높이차가 1보다 크지 않는 트리를 뜻합니다.
제한조건
- The number of nodes in the tree is in the range [0, 5000].
- -10^4 <= Node.val <= 10^4
입출력 예


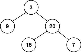
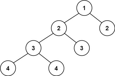
| 입력 | 출력 |
| [3,9,20,null,null,15,7] | true |
| [1,2,2,3,3,null,null,4,4] | false |
| [] | true |
해답 및 해설
파이썬 (Python)
class Solution:
def isBalanced(self, root: Optional[TreeNode]) -> bool:
def treeDepthBalanced(node):
if not node:
return (0, True)
l_depth, l_isbalanced = treeDepthBalanced(node.left)
r_depth, r_isbalanced = treeDepthBalanced(node.right)
isbalanced = l_isbalanced and r_isbalanced and abs(l_depth-r_depth) <= 1
depth = max(l_depth, r_depth) + 1
return (depth, isbalanced)
_, isbalanced = treeDepthBalanced(root)
return isbalanced
이진 트리의 최대 깊이를 재귀로 구한 후, 높이를 비교하고 상위 노드 비교시에 쓰면 된다.
class Solution:
def isBalanced(self, root: Optional[TreeNode]) -> bool:
isbalanced = True
def treeDepthBalanced(node):
if not node:
return 0
nonlocal isbalanced
l_depth = treeDepthBalanced(node.left)
if not isbalanced:
return
r_depth = treeDepthBalanced(node.right)
if not isbalanced:
return
if not abs(l_depth-r_depth) <= 1:
isbalanced = False
return
depth = max(l_depth, r_depth) + 1
return depth
treeDepthBalanced(root)
return isbalanced
다음과 같이 전역변수를 이용해줘도 된다.
반응형
'🖥️ 문제 풀이 > 리트코드(Leetcode)' 카테고리의 다른 글
| [LeetCode 해석 및 풀이] 572. Subtree of Another Tree (다른 트리의 서브트리) (0) | 2024.07.21 |
|---|---|
| [LeetCode 해석 및 풀이] 100. Same Tree (같은 트리) (0) | 2024.07.19 |
| [LeetCode 해석 및 풀이] 543. Diameter of Binary Tree (이진 트리에서의 지름) (0) | 2024.07.18 |
| [LeetCode 해석 및 풀이] 104. Maximum Depth of Binary Tree(이진 트리의 최대 깊이) (0) | 2024.07.04 |
| [LeetCode 해석 및 풀이] 226. Invert Binary Tree (이진 트리 뒤집기) (0) | 2024.07.04 |
댓글