반응형

LeetCode 문제 해석 및 풀이 방법
문제 19. Remove Nth Node From End of List(리스트 뒤에서 N번째 노드 없애기)
문제 설명
영문
Given the head of a linked list, remove the nth node from the end of the list and return its head.
Follow up: Could you do this in one pass?
한글
연결 리스트의 head가 주어지면, 뒤에서 n번째 노드를 제거하고 head를 반환하십시오.
제한조건
- The number of nodes in the list is sz.
- 1 <= sz <= 30
- 0 <= Node.val <= 100
- 1 <= n <= sz
입출력 예

| 입력 | 출력 |
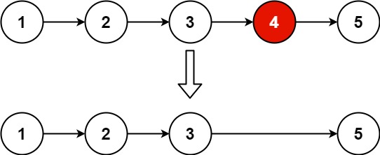
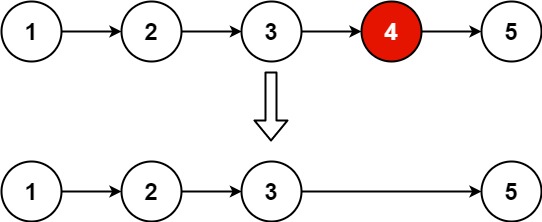
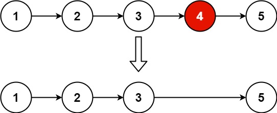
| head = [1,2,3,4,5], n = 2 | [1,2,3,5] |
| head = [1], n = 1 | [] |
| head = [1,2], n = 1 | [1] |
해답 및 해설
파이썬 (Python)
class Solution:
def removeNthFromEnd(self, head: Optional[ListNode], n: int) -> Optional[ListNode]:
target_mother = None
count = 0
last_node = head
while last_node:
last_node = last_node.next
if count == n:
target_mother = head
elif count > n:
target_mother = target_mother.next
count += 1
if not target_mother: return head.next
target_mother.next = target_mother.next.next
return head
지워야 하는 타겟의 부모모드를 찾도록 한다. 찾는 방법은 원소 갯수를 세다가 n개가 나오면 그때부터 끝노드를 찾는 노드와 병행하게 다음 노드를 찾도록 이동 시킨다.
타겟의 부모모드를 못 찾았으면, 타겟이 첫 노드란 뜻이므로 현재 head의 다음 노드를 반환하고, 아니라면 타겟노드를 삭제한 후 현재 head를 반환한다.
반응형
'🖥️ 문제 풀이 > 리트코드(Leetcode)' 카테고리의 다른 글
| [LeetCode 해석 및 풀이] 2. Add Two Numbers (0) | 2024.04.20 |
|---|---|
| [LeetCode 해석 및 풀이] 138. Copy List with Random Pointer (0) | 2024.04.20 |
| [LeetCode 해석 및 풀이] 143. Reorder List (0) | 2024.04.20 |
| [LeetCode 해석 및 풀이] 21. Merge Two Sorted Lists (0) | 2024.04.19 |
| [LeetCode 해석 및 풀이] 206. Reverse Linked List (0) | 2024.04.19 |
댓글